空白部分をクリックすれば、閉じます。
那珂郡 御笠郡 席田郡 遠賀郡 鞍手郡 嘉麻郡 穂波郡 上座郡 下座郡 夜須郡 怡土郡 志摩郡 早良郡 生葉郡 竹野郡 御井郡 御原郡 山本郡 上妻郡 下妻郡 山門郡 三池郡 企救郡 田川郡 京都郡 仲津郡 築上郡
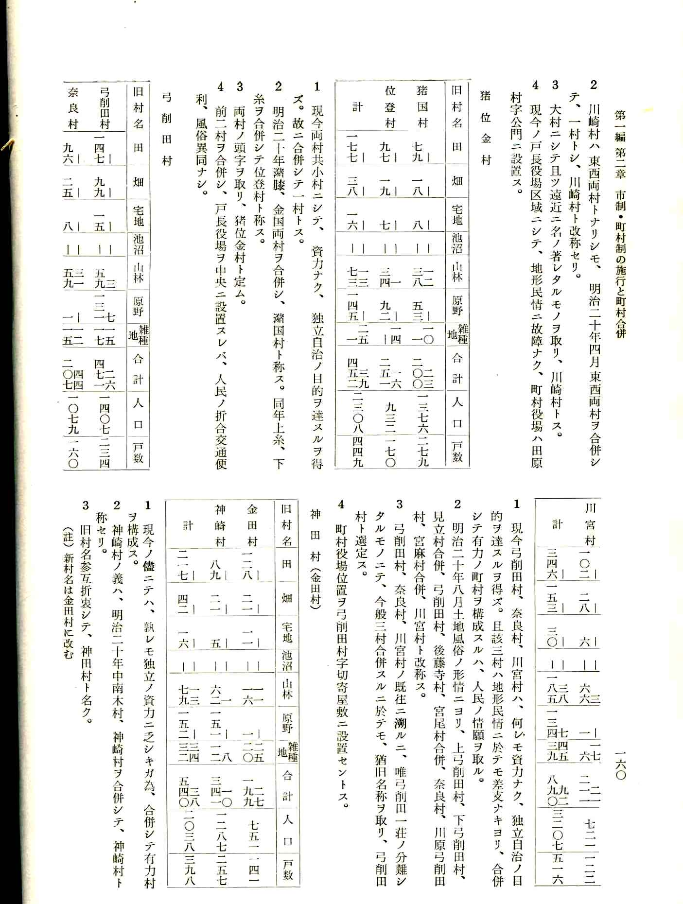
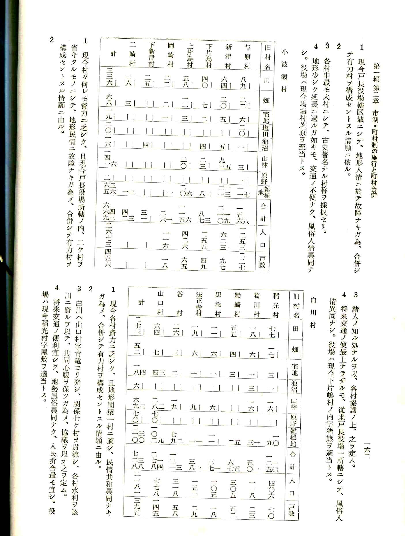
合併市町村ごとに
一、概況
二、関係市町村の沿革
三、合併を必要とした理由
四、合併までの経緯
五、新市町村名選定の理由
六、事務所位置決定の狸由
七、合 併 条 件
ハ、関係市町村の三役と正副議長
九、関係市町村の現況表









